港湾構造物(鋼,コンクリート)の塩害劣化が顕在化しており,高耐久,低コストな工法の開発が望まれている.本研究では,緻密で引張力も負担できる超高強度ひずみ硬化型セメント系材料を港湾構造物の表面保護に適用し,かつ水の閉め切りなどを不要とした水中施工法を開発する.鋼構造物,コンクリート構造物のいずれの形式にも適用できる表面保護工である点,および水中施工法とすることで,工期短縮,コスト削減をも実現できる可能性がある。
コンクリートおよび鋼構造物に代表される港湾構造物では,塩害による劣化が顕在化しており,様々な補修・補強工法が開発,提案されている.極めて厳しい環境であることから,防食のための材料が高価であったり,当初の予想よりはるかに短い期間で再劣化するなど,さらなる高耐久化が望まれている.さらに,将来起こりうる地震や,近年問題視されている津波による被災(コンテナなどの浮遊物が構造物に衝突するなど)も懸念されており,これらに対して適切な補強工法を検討することは極めて有意義である。
申請者は,SCOPE平成18年度研究開発助成金(震災復旧時のコスト削減を可能とするセメント系補強材の開発)において,緻密で耐震補強も兼ねたセメント系補強材を開発し,陸上にある構造物を想定し,吹きつけ工法の提案,補強効果の確認を行っており,当初予定された成果が得られつつある。
本研究開発は,昨年度陸上構造物で実施した補修,補強工法を参考に,港湾構造物の,特に水中施工法を開発するものである。
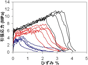
本研究開発で用いる材料は,超高強度ひずみ硬化型セメント系材料である.引張強度が約10MPa,引張強度時ひずみが2%程度以上であり,当該材料をある厚さをもって被覆することで,補強効果が期待できる(図-1参照).さらには,W/B=0.18~0.22程度と通常のコンクリートに比べて極めて緻密な材料であることから,塩化物イオンの侵入を抑制し,塩害に対する抵抗性が極めて高い。
この材料を,供用中の構造物に被覆する場合,特に柱等の細い部材を特殊なカバー(特許申請の都合上,詳細は割愛)で覆い,その中に当該材料を充填することで,全体の被覆を行う工法を開発する.これにより,水の閉め切りを行う必要がなく,コスト削減が可能となる。
また,水中で施工,養生することで,セメント量の多い当該材料の①水和熱,②収縮(乾燥収縮のみ)などのデメリットが緩和されることが期待できる。

図-1 超高強度ひずみ硬化型セメント系材料の引張応力-ひずみ関係(SCOPE平成18年度研究開発助成の成果のひとつ)
鋼構造物の場合
鋼構造物の場合,塩害による腐食を低減するために,重防食を実施したり,水中溶接によるあて板などが実施される.本研究開発による工法の適用により,同程度以上の防食が期待できるとともに,耐震性の向上あるいは沿岸防災に関わる補強などについても同時に行うことが可能である。
コンクリート構造物の場合
コンクリート構造物の場合でも,プレキャスト部材で表面を覆う耐震補強(表面保護も兼ねる)工法が開発されているが,施工時に水を締め切る必要があったり,新設部の耐久性が従来のコンクリートと同程度であるなど,高耐久化には限界があった.もちろん,従来のセメント系材料を水中で施工,硬化させることは現実的ではなかった。
![]()